Continuous or routinely scheduled monitoring can effectively detect environmental changes early. However, despite the availability of low-cost sensors, the number that can be deployed remains limited. The effectiveness of a monitoring strategy is greatly influenced by factors such as sensor placement, the type of technology used, and the conditions under which the sensors operate.

Our Solution

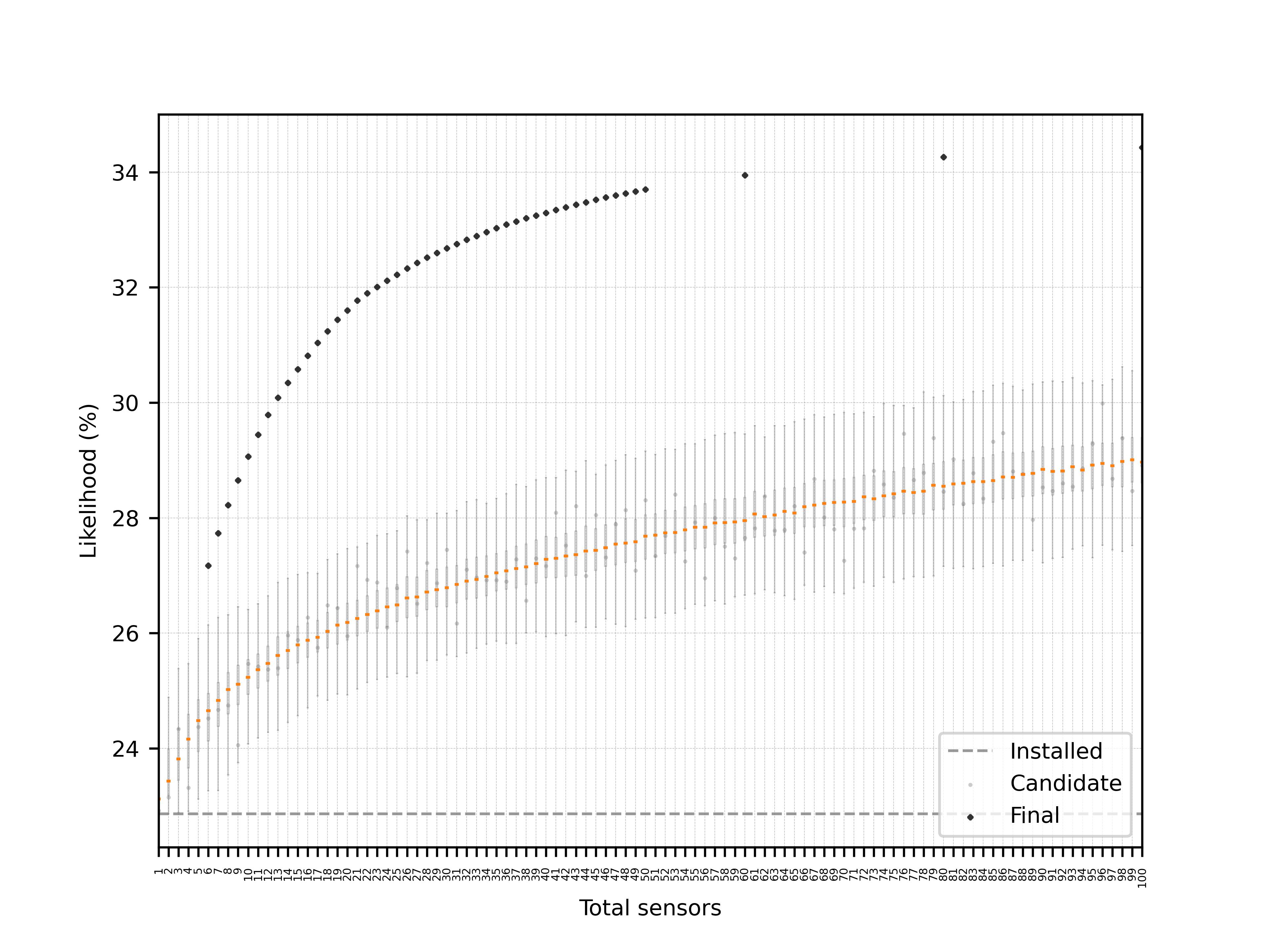
DssFactory developed a general-purpose sensor placement optimization tool that uses mixed-integer linear programming formulations to identify sensor locations and technologies that maximize monitoring effectiveness.

Sensor